In this article, you will learn about one of the most popular technical indicators — the moving average. It was developed long ago but remains widely used because of its simplicity and clarity. The moving average can be applied across different financial markets and time frames, making it a universal tool for technical analysis.
We will look at the formula of the simple moving average, introduce the exponential moving average, and review the advantages of the indicator along with several simple but effective trading strategies.
The article covers the following subjects:
Major Takeaways
A moving average is a technical indicator that shows the average price of an asset over a selected period.
There are several types of moving average indicators: the simple moving average (SMA), the exponentially weighted moving average (EMA), the weighted moving average (WMA), the smoothed moving average (SMMA), and others. The most commonly used are the simple and exponential moving averages.
The moving average is a trend indicator. If the price is above the moving average, the trend is upward; if it is below, the trend is downward.
Common time periods for the moving average are 20, 50, and 200. The larger the time period, the smoother the line. The shorter the period, the faster the moving average reacts to price changes.
Moving averages are used to spot trends, their strength, and dynamic support and resistance levels.
Popular moving average trading patterns include the Golden Cross and the Death Cross. A golden cross appears when a fast-moving average crosses a slower one from below. A death cross appears when a fast-moving average crosses a slower one from above.
Signals from the exponential moving average ema are often confirmed with other technical indicators, such as price action, MACD, RSI, or Bollinger Bands.
What Is a Moving Average Indicator?
A moving average is a line on the price chart that shows the average price over several previous periods. This indicator is available on almost every trading platform. Its values are calculated automatically depending on the selected parameters.
There are several types of moving average indicators. The main ones include:
SMA — the simple moving average. It is calculated as the arithmetic mean of the closing price over a specific number of time periods. For example, a 5-day SMA equals the sum of the closing prices for the past 5 days divided by 5.
EMA — the exponential moving average. It gives more weight to recent prices, so it reacts faster to price changes. This type of moving average is often used in day trading.
WMA — a weighted moving average. It also assigns different weights to price data, but distributes them linearly rather than exponentially. Recent values receive more weight, but the formula differs from that of an exponential moving average.
SMMA — a smoothed moving average. It uses a longer price data set, making the indicator smoother and slower. It is often used in indicators such as the Alligator.
VWMA — a volume-weighted moving average. The price is considered together with volume, meaning periods with higher volume have a stronger influence on the indicator.
EMA Indicator Explained: How the Exponential Moving Average Works
Let's look at the EMA indicator in more detail, since the exponential moving average (EMA) is one of the most popular moving average indicators among technical traders.
There is a common view in the market that recent data is more important than events that happened long ago. Without judging whether this is correct, this principle forms the basis of the exponential moving average.
The EMA line constantly recalculates the average price, but reacts more strongly to recent prices. If the price rises or falls sharply, the EMA line turns faster than the simple moving average (SMA).
For example, EMA 20 shows the average price for the last 20 candles. At the same time, recent prices influence the EMA calculation more than older data points do. Therefore, the EMA line signals a trend change or the start of a new move more quickly, which is especially important for short-term traders and those looking to enter an emerging trend.
How to use EMA in trading? In practice, many traders use the exponential moving average to:
identify trend direction;
find dynamic support and resistance;
filter trades (for example, buy only when the price remains above the EMA).
It is important to remember that both the simple moving average and the exponential moving average are lagging technical indicators, because they are calculated from past performance and recent price data. For this reason, traders usually miss part of the move and the earliest entry points.
Exponential Moving Average Formula
The exponential moving average calculation consists of two parts: calculating the smoothing coefficient and applying the main formula used to update the average.
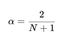
EMA Smoothing Coefficient (Multiplier)
where
N is the time period of the moving average (for example, 20),
α is the weight coefficient for the new price.
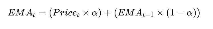
Main EMA Calculation Formula
where
Priceₜ is the current price (usually the closing price),
EMAₜ is the current EMA value,
EMAₜ₋₁ is the EMA value from the previous candle.
The new exponential moving average is calculated from the current price and the previous EMA value. Because of this, recent prices receive more weight, while older data points gradually lose influence.
For example, for EMA 20, the multiplier is calculated as α = 2/(20 + 1) = 0.0952. This means that about 9.5% of the weight is assigned to the current price, while 90.5% is assigned to the previous EMA value.
EMA vs SMA: Which Moving Average Should You Use?
There is no single opinion among many traders about which moving average works better — the simple moving average (SMA) or the exponential moving average. Each of them is suitable for different tasks. Still, a few general conclusions can be drawn.
SMA (Simple Moving Average) is a simple moving average in which all price data has equal weight. It moves more smoothly and reacts more slowly to price changes. For this reason, the simple moving average is often used to identify long-term trends and filter market noise. It is also used by swing traders. The 200-period simple moving average is widely used to identify the major trend.
EMA (Exponential Moving Average) gives more weight to recent prices, so it reacts faster to price changes. This makes the exponential moving average more suitable for day traders, momentum entries, and earlier signals of potential reversals. For this reason, many traders often use EMA with time periods such as 9, 20, or 50.
My favorite time periods for the exponential moving average are 20 and 50. Some traders use an 18-period to get even faster signals.
How to Read EMA Indicator on a Price Chart
There are several ways to use the EMA indicator in trading. Because it is a trend indicator, it is most often used to determine the direction of the trend.
First, traders need to decide which trend and which time frame they want to analyze. For simplicity, the examples below use the daily chart.
To identify short-term trends, traders usually use the 20-period exponential moving average.
For medium-term analysis, a period of 50 is commonly used.
The major trend is often identified with time periods of 190 or 200.
Another important factor is the position of the price relative to the EMA line:
If the price remains above the EMA line, the market is considered bullish, and traders look for long positions.
If the price moves below the EMA line, the market becomes bearish, and traders may consider a short position.
Let us look at a real forex trading example.
In the current EURUSD situation, the price is below the EMA 20 and EMA 50, but still above the EMA 200. This typically means:
The short-term trend is bearish.
The medium-term trend is bearish.
The long-term trend is bullish.
Traders also use the exponential moving average to identify support and resistance. With the correct parameters, the EMA line can act as a dynamic level. If the market is bullish and the price pulls back toward the moving average, traders may look for buying opportunities near it, expecting the price to continue moving in the direction of the trend. The same method can be used to look for sell signal opportunities in a bearish trending market.
Below are examples in which the price bounced off the EMA, acting as a level.
Another way to interpret the EMA indicator is to watch for a potential trend reversal. In this case, traders wait for the price to move against the current trend, break the EMA line, and then hold above or below it. Confirmation usually occurs when the closing price for the trading day is above or below the EMA line.
Moving Average Trading Strategies
Next, we will look at the most popular moving average trading strategies. Most often, traders use moving averages to trade pullbacks in the direction of the current trend, where the moving average acts as a dynamic support and resistance level. They are also widely used in crossover strategies.
EMA Crossover Strategy: Golden Cross and Death Cross
The EMA crossover trading strategy uses two moving averages simultaneously. One is a shorter time period, while the other is a longer one. On the daily chart, traders often use the 20- and 50-period exponential moving averages.
Golden Cross
A golden cross occurs when a faster EMA (20) crosses a slower EMA (50) from below. The appearance of a golden cross is considered a bullish trading signal.
A trade can be opened immediately, but the price does not always move right away. Medium-term participants often need time to adjust their positions before significant market moves begin.
For this reason, many traders wait for a small pullback, often toward the area where the two EMA lines are located. In that zone, they look for a price action pattern to enter the trade.
Death Cross
A death cross occurs when the faster EMA (20) crosses the slower EMA (50) from above. This is the opposite of a golden cross and is usually interpreted as a sell signal.
When a death cross appears on the price chart, it often indicates that the market may shift from an uptrend to a downtrend. As in the previous example, a trader can open a trade immediately after the signal appears, but patience may be required. After the signal forms, the price often returns to the moving average, creating more favorable entry or exit points.
How to Use Moving Averages as Dynamic Support and Resistance
Since many traders use moving averages in their strategies, these lines on the price chart often become dynamic levels.
They can be used as zones for finding entry points. First, the trend direction should be determined. If the exponential moving average 20 and the exponential moving average 50 are both pointing downward, the trend is bearish; if they are pointing upward, the trend is bullish. Trades should be opened only in the direction of the trend.
If the goal is to trade short-term trends, traders often wait for the price to pull back to the EMA 20 and then look for an entry signal at that level. If the aim is to trade a medium-term move, it may be better to wait for a correction toward the EMA 50 after a strong impulse.
Often, traders prefer to treat the area between the EMA 20 and EMA 50 as a single zone. There is no universal rule here. Sometimes the price touches a specific EMA and reverses, while in other cases it moves into the zone between the averages before forming an entry. In the example above, the pink rectangle marks the area between the two EMA lines, while the black rectangle shows a test of the EMA 20 only.
Signals for Entry and Exit
When using moving averages in a trading strategy, traders should define their entry and exit points in advance. The simplest method is to open a position immediately after one EMA crosses another or when the price touches the moving average. However, this approach often produces false signals and usually proves ineffective.
Experienced traders, therefore, look for additional confirmation before entering a trade. In many strategies, traders use elements of price action. If a strong support or resistance level is near the moving average, the probability of a bounce increases.
Common price action patterns used for confirmation include:
pin bar;
false breakout;
engulfing pattern;
inside bar.
In the example above, black rectangles mark bearish engulfing patterns, black arrows indicate false breakouts, and the pink rectangle marks an inside bar.
When trading these patterns, the stop-loss is usually placed above or below the pattern's extreme. Take-profit levels are often set so that the profit exceeds the stop-loss by two or three times. Take-profit can also be placed at a key level on the price chart, or the trade can be held until the price breaks the EMA in the opposite direction. It is best to test different approaches.
Additional confirmation may come from support and resistance levels on the daily chart, as well as Bollinger Bands. In this case, traders usually wait for a candlestick pattern confirming the trade.
Look at the example above. Different colors indicate situations where the same level initially acted as support and later as resistance. And remember: a level is not just a line — it is always a price zone.
Conclusion
The moving average is widely used in technical analysis. Traders value this indicator for its simplicity and clarity. The exponential moving average is especially popular because it gives more weight to recent prices and reacts faster to price changes. With the help of the EMA indicator, traders can identify short-term trends and long-term trends, spot potential reversals, and detect support and resistance levels.
However, moving average indicators, when used without additional entry and exit confirmation, often produce false signals and do not always provide the best timing for a trade. For this reason, traders usually confirm entries with price action setups, horizontal levels, volume analysis, and other technical indicators.
Moving Averages FAQs
There is no single answer. The simple moving average is smoother and better for identifying the major trend, while the exponential moving average reacts faster to recent price data and is often used in short-term trading strategies.
There is no universal rule. EMA 20 reacts more quickly to price changes and is often used by day traders, while EMA 50 reflects the medium-term trend and produces smoother signals.
A golden cross and a death cross are trading signals that appear when two moving averages intersect. A golden cross forms when a short-term moving average crosses a longer one upward. A death cross occurs when the crossover happens downward and may signal weakening market momentum.

The content of this article reflects the author’s opinion and does not necessarily reflect the official position of LiteFinance broker. The material published on this page is provided for informational purposes only and should not be considered as the provision of investment advice for the purposes of Directive 2014/65/EU.
According to copyright law, this article is considered intellectual property, which includes a prohibition on copying and distributing it without consent.













































































